2020考研数学三真题【完整版】
2020/7/1 11:22:11
来源: 网络





2025考研人数达388w,考研热度依旧火热!如何备战2026考研?哪个考研专业适合自己?在职考生如何备考?考研知识点繁多,择校困难大,和海天考研咨询老师聊一聊。网课面授多项选,专业辅导1对1,全年集训随时学!

上一篇:2020考研数学二真题【完整版】
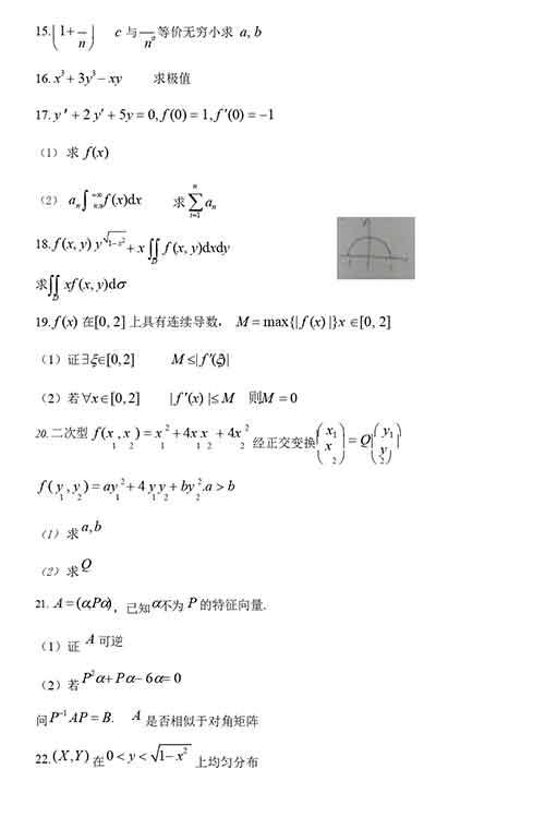
热门推荐





